Pot odds: basic notions and ways to calculate them

Poker, as a game based on probabilities, takes into account different factors when establishing a relationship between the data on the table and the probabilities of forming the best hand based on your cards and other aspects of the game.
To be able to perform in a poker game with a minimum of success, it is essential to manage the odds at all times. It is not an intuitive exercise, but a mathematical one, and any newcomer to poker has to start familiarizing himself with all that this concept entails.
Pot odds: what they are

The odds in poker are the probabilities that you can win based on your cards, the community cards of each street and the play of your opponents. But this is talking about odds in general, then there are the pot odds, which are the odds that take into account the relationship between the pot and our game, the implicit odds and the reverse implicit odds, which are more complex.
To fight for the pot, you have to know what odds you have to win it, and to know this you need to know what relationship there is at the moment you want to calculate them between the pot, your cards, your project and the outs (the cards you need to form your project).
Something you must understand right away is that nobody wins the pot by chance. Nor does anyone decide to risk his money to play a pot that he might lose. Whoever reaches the pot is because he has calculated his pot odds, and the result puts him in an advantageous position. Therefore, in multiplayer jackpots this means that: either someone has miscalculated and is going to get smashed, or that everyone has a strong project with the potential to win.
Pot odds are a whole world in poker. For example, it may be in your best interest to pay the flop, leave the pot half done and be able to make an additional bet on the next street. It is possible that you may have to pay to see the river card, although we leave it up to you to decide whether it is worth it or not, because it depends on each case and the considerations that each player handles.
Calculate the pot odds in poker: how to do it

It will not come as news to you that poker is a game of mathematical ability, mainly. But the calculations related to pot odds have a lot to do with ratios, percentages and fractions, as well as being greatly influenced by the time you choose to make these calculations. Therefore, you must pay attention to everything that happens at the table in order to know how to choose when to calculate the odds you have with your game to win the pot.
There is something you will need to do to mentally calculate the pot odds: switch from ratios to fractions and percentages quickly, create several simultaneous mental calculations, retain numbers and data, divide how many times you fail to improve the hand among those you do, add the chips in the pot with those that have been added in the betting rounds, divide that data among the chips you have to pay… all this is crucial to be able to mentally calculate the pot odds at the same time the game is taking place.
And all this, bearing in mind that you must know how to manage your tells and that you cannot x-ray your game.
Keep in mind that developing these skills with the numbers will allow you to get very accurate data if they are done well during the game to know your real odds of winning the pot. Some techniques are more difficult than others to calculate the same data, although not all are equally accurate. The 2 and 4 technique is one of the best known. It is based on the principle of multiplying the outs by four when there are two cards left to get an approximate percentage of the times you can complete your hand on the last street. But keep in mind just that: it is an approximate percentage.
Multiplying the outs by two when there is only one card left to show is another method to get a close to the real pot odds you have at that moment, but keep in mind that the data can vary greatly from one moment to another in the game. In pot odds, timing is essential.
Formula to calculate the percentage pot odds
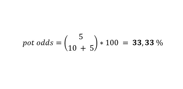
To calculate the pot odds and obtain a value as a percentage, we follow the following formula:

For example:

Differences between pot odds and implied odds

Calculating pot odds in poker is not complicated in itself, but it is necessary to know how to choose the right moment and to have developed, with experience and dedication, the ability to carry out simultaneous mental calculations.
The calculation of pot odds in poker is associated with other calculations to obtain additional data. For example, equity has a lot to do when it comes to knowing what potential our hand has to be the best of the table at a particular time, hence the need to be able to make simultaneous calculations.
Calculating the implied odds can be a good idea to know what our odds are in case we continue betting, as well as the fold equity, another element that must be taken into account to calculate the implied odds.
Therefore: the pot odds are the probabilities that we have at a specific moment of winning the pot taking into account our project, our stack, the opponent’s cards and our game. The implied odds are the odds that we can reach if we continue betting in the following rounds. This must be clear so that we do not get confused in the middle of the game and ruin our real chances.


