Pot odds: basic concepts and ways to calculate them

Poker, as a probability-based game, takes into account various factors when establishing a relationship between the data on the table and the odds of forming the best hand based on your cards and other aspects of the game.
To perform successfully in a poker game, it is essential to manage the odds at all times. This is not an exercise in intuition, but in mathematics, and any newcomer to poker needs to start familiarizing themselves with everything this concept entails.
Pot odds: what they are

Odds in poker are the probabilities of winning based on your cards, the community cards on each street, and your opponents' play. But that is speaking about odds in general terms — then there are pot odds, which are the odds that consider the relationship between the pot and our play, implied odds, and reverse implied odds, which are more complex.
To compete for the pot, you need to know what chances you have of winning it, and to know that you need to understand the relationship, at the moment you want to calculate them, between the pot, your cards, your draw, and your outs (the cards you need to complete your draw).
Something you need to understand right away is that nobody wins the pot by chance. Nor does anyone decide to risk their money playing a pot they might lose. Whoever goes for the pot has calculated their pot odds, and the result places them in an advantageous position. Therefore, in multi-player pots this means that: either someone has miscalculated and is about to face the consequences, or everyone has a strong draw with the potential to win.
Pot odds are a whole world in poker. For example, it may be worth calling the flop, leaving your draw half-built and being able to make an additional bet on the next street. You may find yourself paying to see the river card, although we'll leave it up to you to decide whether it's worth it, since it depends on each situation and the considerations each player is working with.
Calculating pot odds in poker: how to do it

It won't come as a surprise that poker is primarily a game of mathematical skill. But the calculations related to pot odds have a lot to do with ratios, percentages, and fractions, and are heavily influenced by the moment you choose to make these calculations. Therefore, you must pay close attention to everything happening at the table in order to know when to calculate the odds your hand gives you of taking down the pot.
There is something you will need to do to mentally calculate pot odds: quickly switch between ratios, fractions, and percentages, run several simultaneous mental calculations, retain numbers and data, divide the number of times you fail to improve your hand by the number of times you succeed, add the chips in the pot to those added during the betting rounds, divide that figure by the chips you need to call… all of this is crucial for mentally calculating pot odds while the game is in progress.
And all of this, while keeping in mind that you must manage your tells and avoid giving away your hand.
Bear in mind that developing these numerical skills will allow you to obtain highly accurate data when performed correctly during the game, giving you a real picture of your actual chances of winning the pot. Some techniques for calculating the same data are harder than others, though not all are equally precise. The 2 and 4 rule is one of the best known. It is based on the principle of multiplying your outs by four when two cards are still to come, to obtain an approximate percentage of the times you can complete your hand by the final street. But keep in mind that it is precisely that: an approximate percentage.
Multiplying your outs by two when only one card remains to be dealt is another method for obtaining a figure close to the real pot odds at that moment, but bear in mind that the figure can vary enormously from one moment in the hand to the next. In pot odds, timing is everything.
Formula for calculating percentage pot odds
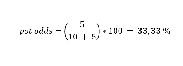
To calculate pot odds and obtain a value as a percentage, we use the following formula:

For example:

Differences between pot odds and implied odds

Calculating pot odds in poker is not complicated in itself, but you need to know how to choose the right moment and to have developed, through experience and dedication, the ability to carry out simultaneous mental calculations.
Calculating pot odds in poker goes hand in hand with other calculations to obtain additional data. For example, equity plays a major role in understanding the potential our hand has of being the best at the table at any given moment, hence the need to be able to run simultaneous calculations.
Calculating implied odds can be a good idea to understand what our odds look like if we continue betting, just as fold equity is another element that must be taken into account when calculating implied odds.
Therefore: pot odds are the probabilities we have at any given moment of winning the pot, taking into account our draw, our stack, our opponent's cards, and our play. Implied odds are the probabilities we can reach if we continue betting in subsequent rounds. This distinction must be clear so we don't get confused in the middle of a hand and undermine our real chances.


